Kapitel 13: Komparativ metode – vælgeradfærd i USA, Tyskland og Danmark
Tjek på lektien
- Definér og giv eksempler på følgende begreber:
- Komparativ metode
- Beskrivende komparativ metode
- Forklarende komparativ metode
- Afhængige variable
- Uafhængige variable
- Most similar systems design
- Most different systems design
- Forklar ud fra tabel 13.5, hvordan den komparative most different undersøgelse er tilrettelagt og fagligt begrundet.
- Hvad viser figurer og tabeller side 158-161, og hvad kan de bruges til i den komparative undersøgelse?
Øvelsesopgaver
- Grupper undersøger vælgernes tilslutning til et nationalkonservativt parti i et selvvalgt andet land ud fra tabel 13.5 (most different designs system). Undersøg fx tilslutningen til Sverigedemokraterne i Sverige, LEGA-partiet og Femstjernebevægelsen i Italien eller Victor Orbans parti Fidesz i Ungarn.
- Diskuter om konklusionerne fra den komparative undersøgelse af vælgeradfærd i USA, Tyskland og Danmark kan generaliseres til også at gælde for andre lande?
- Sverige og Danmark er ret ens på en række variable, som det fremgår af tabel 13.8. I Danmark vil både Socialdemokratiet, Venstre og Konservative gerne samarbejde med Dansk Folkeparti (DF). Men i Sverige vil hverken Socialdemokratiet eller borgerlige partier samarbejde med Sverigedemokraterne (SD). I hvert fald ikke i forbindelse med det svenske valg i 2018. Undersøg med brug af most similar systems design, hvad der kan være forklaringen på denne forskel mellem Danmark og Sverige. Undersøg DF’s og Sverigedemokraternes politiske udtalelser og de andre partiernes begrundelse for deres forhold til henholdsvis DF og Sverigedemokraterne.
- Diskutér, om der er en uafhængig forklarende variabel, som kan indsættes i tabel 13.8?
Artikel: Præsidentvalg, vælgeradfærd og statistik i undervisningen
af Bent Fischer-Nielsen, fagkonsulent i samfundsfag 2007-2020 og forfatter til Vælgeradfærd og statistik, Columbus 2020 og Kommunalpolitik, Columbus 2005.
Hvordan kan man undervise i præsidentvalget og vælgeradfærd i USA, samtidig med at man træner beregning og tolkning af statistisk usikkerhed, lineær regression, procentandel og indekstal inkl. fremstilling af diagrammer?
HVEM STÅR TIL AT BLIVE USA’S NÆSTE PRÆSIDENT?
Det kan vi se i meningsmålinger, hvis vi inddrager den statistiske usikkerhed og 95%-konfindensinterval for præsidentkandidaterne i de afgørende svingstater.
Man kunne fristes til blot at se på de nationale meningsmålinger for alle amerikanske vælgere, og se hvem der fører. Men det er ikke flertallet af alle amerikanere, der afgør, hvem der bliver præsident. For at blive valgt som præsident, skal man erobre et flertal af de såkaldte valgmænd fra hver af de amerikanske stater. Man får det bedste overblik i figur 1 fra www.realclearpolitics.com (RCP).

I figur 1 ses, hvor mange valgmænd, der vælges fra hver stat, og hvem der står til at vinde dem i skrivende stund (15. august 2024). Harris står til at vinde 208 valgmænd fra de blå stater, mens Trump står til at vinde 219 valgmænd fra de røde stater. De grå stater er svingstater på det målte tidspunkt. Her ligger målingerne så tæt, at det er meget usikkert, hvem der står til at vinde.
Den kandidat, der får flest stemmer i en stat, vinder alle statens valgmænd, og der kræves 270 valgmænd, for at blive præsident.
Så for at afgøre, hvem der står til at blive præsident, skal vi se nærmere på meningsmålingerne i de grå svingstater. De kaldes ”Toss Ups” som udtryk for, at man lige så godt kan slå plat eller krone om, hvem der vinder.
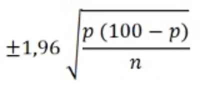
Hvis vi fx tager en undersøgelse fra The New York Times/Siena College på www.fivethirtyeight.com (538) om Pennsylvania med 19 valgmænd, står Harris i august til at vinde med 46% i forhold til Trump med 44%. De sidste procent går til andre kandidater som fx Kennedy jr. Men undersøgelsen fra The New York Times/Siena College har kun 693 respondenter, så vi kan ud fra nedenstående formel beregne den statistiske usikkerhed for både Harris og Trump til +/- 3,7 %.

95%-konfindensintervallet for Harris’ tilslutning i Pennsylvania i august går fra 46% +/- 3,7%, dvs. fra 42,3% til 49,7% og for Trump fra 40,3% til 47,7%. De to konfidensintervaller lapper ind over hinanden. Harris kan ud fra denne måling ikke være 95% sikker på at have større tilslutning end Trump i Pennsylvania.
Denne metode kan diskuteres, men vi kan i figur 2 se, at det anerkendte fivethirtyeight bruger den i sin grafik. Figur 2 viser konfidensintervallerne omkring kurverne for gennemsnit af målingerne. De lapper i starten af perioden ind over hinanden, men slipper i målingen den 15. august. Harris kan den 15. august være 95% sikker på at have større tilslutning nationalt end Trump.

Lidt mindre usikkerhed end for en enkelt måling får man ved at se på de gennemsnit, som 538 og RCP beregner ud fra de seneste målinger. De når ikke altid frem til samme resultat. Fx fører Trump med 0,2 procentpoint i RCP’s gennemsnit for den afgørende svingstat Pennsylvania den 15. august, men 538 giver Harris en føring på 2,3 procentpoints i Pennsylvania på samme tidspunkt. Det er dog stadig sådan, at de to konfidensintervaller lapper ind over hinanden hos 538, som det ses i figur 3.
Forskellen på RCP og 538 skyldes, at RCP beregner et enkelt gennemsnit af de seneste målinger, mens 538 beregnet et vejet gennemsnit af de seneste målinger, hvor stikprøvernes størrelse og institutternes evne til at ramme tæt på de faktiske resultater indgår i vægtene.

OPGAVER:
- Find det aktuelle kort på www.realclearpolitics.com over tilslutningen til Harris og Trump i de amerikanske stater.
- Hver gruppe tager en svingstat (Toss Ups) og undersøger de seneste meningsmålinger på 538 og RCP. På 538 kan man se, hvor mange respondenter der er i hver måling.
Beregn 95%-konfidensintervaller for de to kandidater i en eller flere målinger, undersøg om intervallerne lapper ind over hinanden og konkludér.
Inddrag gennemsnit af de seneste målinger hos 538 og RCP. - Giv en samlet vurdering af, hvem der står til at vinde præsidentvalget i hver af svingstaterne og samlet set.
- Gentag opgaven på valgdagen eller dagen før, forudsig valget og se om det holder.
UDDANNELSE OG PARTIVALG
Læs Vælgeradfærd og statistik side 76-78 og 157-161 om udviklingen i vælgernes partivalg efter uddannelse i Danmark, Tyskland og USA.
Figur 4 fra Pew Research Center viser en opdatering af figuren 13.1 i Vælgeradfærd og statistik for de registrerede vælgere.

OPGAVER:
- Hvad kan der af figur 13.1 i Vælgeradfærd og statistik og figur 4 udledes om udviklingen i tilslutningen til Republikanerne og Demokraterne blandt vælgere med forskellige uddannelsesniveauer?
Du skal anvende viden om vælgeradfærd i din besvarelse. - Søg tal om uddannelse og tilslutning til Trump og Harris ved præsidentvalget 2024.
Er det lykkedes for Harris og Trump at øge deres tilslutning i de befolkningsgrupper, hvor deres parti havde mindst tilslutning i 2023?
KØN OG PARTIVALG
Læs Vælgeradfærd og statistik side 70-72 og 159-161 om udviklingen i vælgernes partivalg efter køn i Danmark, Tyskland og USA.

OPGAVER:
- Hvad kan der af figur 5 fra Pew Research Center udledes om køn og partivalg i USA i 2023?
- Hvilken betydning har statistisk usikkerhed ifølge noten for konklusionerne?
- Søg tal om køn og tilslutning til Trump og Harris ved præsidentvalget 2024?
Er det lykkedes for Trump og Harris at øge deres tilslutning blandt de viste befolkningsgrupper.
UDDANNELSE, INDKOMST OG PARTIVALG
OPGAVER:
- Hvad kan der af tabel 1 udledes om sammenhængen mellem
- a) uddannelsesniveau og tilslutning til Biden/Harris?
- b) uddannelsesniveau og tilslutning til Trump?
- c) familieindkomst og tilslutning til Biden/Harris?
- d) familieindkomst og tilslutning til Trump?
Besvarelsen skal understøttes af diagrammer med lineær regression, der viser de undersøgte sammenhænge.
Du skal anvende viden om vælgeradfærd.
- Undersøg om der i valgkampen er sket ændringer i vælgernes tilslutning til Trump og Harris i stater med et henholdsvis lavt og højt uddannelsesniveau.
Tabel 1: Uddannelse, familieindkomst og partivalg i staterne i USA (del 1)
Note: Tilslutning til Biden/Harris og Trump er fra RCP gennemsnit af de seneste meningsmålinger eller seneste meningsmåling frem til 14. august 2024. Harris er brugt, hvor meningsmålinger med Harris foreligger for staten, og ellers er seneste målinger for Biden brugt. For enkelte stater forelå ikke meningsmålinger, og her er brugt tilslutningen til Biden og Trump ved præsidentvalget i 2020.
Kilder: www.census.gov, www.realclearpolitics.com og www.fivethirtyeight.com
Stat | Andel over 24 år med bachelor | Familieindkomst 2022.Gn.snit i USD | Biden/Harris | Trump |
|---|---|---|---|---|
Washington DC | 65,4 | 146.477 | 85 | 5,8 |
Massachusetts | 46,6 | 120.263 | 52 | 22 |
Colorado | 45,9 | 109.592 | 44 | 37,5 |
Vermont | 44,2 | 96.345 | 66,4 | 30,8 |
Maryland | 43,8 | 117.294 | 56 | 32,5 |
New Jersey | 43,5 | 117.988 | 46 | 39 |
Virginia | 42,2 | 107.101 | 49 | 44 |
Connecticut | 41,9 | 115.183 | 59,3 | 39,2 |
New Hampshire | 41,3 | 112.950 | 51 | 45,3 |
New York | 40,0 | 99.066 | 53 | 39 |
Rhode Island | 39,6 | 105.989 | 60 | 40 |
Washington | 39,5 | 109.192 | 42 | 34 |
Minnesota | 39,1 | 105.324 | 51 | 43 |
Utah | 37,9 | 102.177 | 25 | 57 |
Illinois | 37,7 | 96.948 | 43 | 34 |
California | 37,0 | 104.823 | 59 | 34 |
Delaware | 36,5 | 100.128 | 58,7 | 39,8 |
Oregon | 36,3 | 93.348 | 51 | 35 |
Maine | 36,1 | 88.063 | 32 | 38 |
North Carolina | 35,9 | 83.448 | 45,4 | 47,8 |
Kansas | 35,6 | 89.712 | 31 | 47 |
Hawaii | 35,4 | 108.285 | 42 | 34 |
Pennsylvania | 35,1 | 93.029 | 47,6 | 47,8 |
Georgia | 34,7 | 86.642 | 47,3 | 47,9 |
Nebraska | 34,7 | 92.676 | 31 | 47 |
Montana | 34,6 | 83.580 | 40 | 55 |
Florida | 34,3 | 83.410 | 42,5 | 48,8 |
Texas | 33,9 | 86.267 | 39 | 52 |
Wisconsin | 33,2 | 91.700 | 48,9 | 47,7 |
Arizona | 33,0 | 88.679 | 47 | 47,8 |
South Carolina | 32,6 | 79.886 | 35,7 | 51,7 |
Idaho | 32,3 | 85.193 | 26 | 55 |
Iowa | 32,3 | 90.851 | 36,5 | 48 |
Missouri | 32,2 | 83.420 | 40 | 53 |
Michigan | 32,1 | 85.865 | 48,7 | 46,3 |
Ohio | 32,0 | 86.001 | 40 | 51,5 |
North Dakota | 31,8 | 97.853 | 17 | 54 |
South Dakota | 31,6 | 89.573 | 26 | 55 |
Tenessee | 31,1 | 80.910 | 22 | 55 |
Alaska | 30,6 | 105.329 | 41 | 53 |
New Mexico | 30,5 | 74.341 | 48 | 41 |
Tabel 1: Uddannelse, familieindkomst og partivalg i staterne i USA (DEL 2)
Stat | Andel over 24 år med bachelor | Familieindkomst 2022 gns. i USD | Biden/Harris | Trump |
|---|---|---|---|---|
Indiana | 29,6 | 84.508 | 34 | 45 |
Wyoming | 29,6 | 86.552 | 15 | 68 |
Alabama | 28,8 | 77.668 | 36,6 | 62,3 |
Oklahoma | 28,5 | 75.476 | 27 | 55 |
Kentucky | 27,9 | 76.119 | 26 | 55 |
Louisiana | 27,1 | 72.866 | 38 | 52 |
Nevada | 27,0 | 85.593 | 44,3 | 47,8 |
Arkansas | 25,4 | 70.708 | 24 | 57 |
Mississippi | 24,8 | 66.973 | 41,1 | 57,6 |
West Virginia | 24,8 | 70.318 | 23 | 59 |
UDDANNELSE OG VALGDELTAGELSE
OPGAVER:
- Hvad kan der af tabel 2 udledes om uddannelse og valgdeltagelse?
Besvarelsen skal understøttes af relevante beregninger og et diagram ud fra de beregnede tal.
Du skal anvende viden om socialisering. - Hvilke problemer giver forskellene i valgdeltagelsen for demokratiet i USA?
Tabel 2: Uddannelse og valgdeltagelse. 1000 personer. USA november 2022.
Kilde: www.census.gov
Total citizen population | Reported voted | |
|---|---|---|
Less than 9th grade | 4.673 | 1.104 |
9th to 12th grade, no diploma | 12.095 | 3.237 |
High school graduate | 67.224 | 27.191 |
Some college or associate's degree | 65.337 | 34.153 |
Bachelor's degree | 53.192 | 34.190 |
Advanced degree | 31.026 | 22.041 |
ERHVERVSGRUPPE OG VALGDELTAGELSE
OPGAVER:
- Hvad kan der af tabel 3 udledes om erhvervsgruppe og valgdeltagelse?
Besvarelsen skal understøttes af relevante beregninger og et diagram ud fra de beregnede tal. - Hvilke årsager kan der være til forskelle i valgdeltagelsen?
- Hvilke problemer kan forskellene i valgdeltagelsen give for demokratiet i USA?
Tabel 3: Erhvervsgruppe og valgdeltagelse. 1000 personer. USA. Nov. 2022
Kilde: www.census.gov
Total citizen population | Reported voted | |
|---|---|---|
Total | 233.546 | 121.916 |
Not in labor force | 86.292 | 45.546 |
Civilian labor force | 147.254 | 76.370 |
Government workers | 20.501 | 12.831 |
Private industry | 113.222 | 56.805 |
Self-employed | 8.718 | 5.007 |
Unemployed | 4.813 | 1.726 |
ALDER OG VALGDELTAGELSE
OPGAVER:
- Hvad kan der af tabel 4 udledes om alder og valgdeltagelse?
Besvarelsen skal understøttes af relevante beregninger og et diagram ud fra de beregnede tal. - Hvilke årsager kan der være til forskelle i valgdeltagelsen?
- Hvilke problemer kan forskellene i valgdeltagelsen give for demokratiet i USA?
Tabel 4: Alder og valgdeltagelse. 1000 personer. USA. November 2022
Kilde: www.census.gov
Total citizen population | Reported voted | |
|---|---|---|
18 to 24 years | 26.749 | 7.372 |
25 to 44 years | 76.370 | 33.798 |
45 to 64 years | 74.944 | 43.661 |
65 to 74 years | 32.912 | 22.369 |
75 years and over | 22.571 | 14.717 |
BEFOLKNINGSUDVIKLING I USA
OPGAVER:
- Hvad kan der af tabel 5 udledes om udviklingen i befolkningsgrupperne i USA?
Besvarelsen skal understøttes af relevante beregninger og et diagram ud fra de beregnede tal. - Hvordan kan udviklingen i befolkningsgrupperne påvirke tilslutningen til Republikanerne og Demokraterne?
Tabel 5A: Udvikling i befolkningsgrupper i USA (2020-2023)
Kilde: www.census.gov
Race and Hispanic Origin | Pop. Estimate (2020) | Pop. Estimate (2021) | Pop. Estimate (2022) | Pop. Estimate (2023) |
|---|---|---|---|---|
ONE RACE: | ||||
White | 251.667.233 | 251.476.938 | 251.615.841 | 252.065.704 |
Black or African American | 44.907.535 | 45.099.811 | 45.397.726 | 45.757.433 |
American Indian and Alaska Native | 4.302.112 | 4.347.306 | 4.412.983 | 4.486.417 |
Asian | 20.218.285 | 20.455.285 | 20.903.068 | 21.386.914 |
Native Hawaiian and Other Pacific Islander | 851.821 | 864.425 | 882.162 | 899.815 |
TWO OR MORE RACES: | 9.579.947 | 9.805.212 | 10.059.631 | 10.318.612 |
TOTAL POPULATION (ONE RACE + TWO OR MORE RACES): | 331.526.933 | 332.048.977 | 333.271.411 | 334.914.895 |
Tabel 5B: Udvikling i befolkningsgrupper i USA (2020-2023)
Race and Hispanic Origin | Pop. Estimate (2020) | Pop. Estimate (2021) | Pop. Estimate (2022) | Pop. Estimate (2023) |
|---|---|---|---|---|
NOT HISPANIC: | 269.300.570 | 269.049.555 | 269.211.440 | 269.695.750 |
HISPANIC: | 62.226.363 | 62.999.422 | 64.059.971 | 65.219.145 |
TOTAL POPULATION (NOT HISPANIC + HISPANIC): | 331.526.933 | 332.048.977 | 333.271.411 | 334.914.895 |
UNDERVISNINGSMATERIALE:
- Læs om vælgeradfærd, statistisk usikkerhed, lineær regression, procentandele og indekstal i Bent Fischer-Nielsen og Kenneth Thue Nielsen: Vælgeradfærd og statistik. Columbus 2020.
- Læs om vælgeradfærd og politik i USA i Peter Brøndum og Annegrethe Rasmussen: USA’s udfordringer. 4 udgave. Columbus 2024.
- Læs om politik i USA på engelsk i Lotte Genefke, Stine Nue Mikkelsen og Lise Wich: Election Year. Columbus 2024.